科研动态
北京胸科医院联合团队开发多模态弱监督学习系统AIM-LCpro,预测非小细胞肺癌患者生存期,助力个性化治疗决策
2025年6月19日,首都医科大学附属北京胸科医院联合研究团队在Nature子刊NPJ Precision Oncology(影响因子:8.0,中科院1区)发表“Accurate prediction of disease-free and overall survival in non-small cell lung cancer using patient-level multimodal weakly supervised learning”论文。研究首次通过弱监督学习技术,成功实现非小细胞肺癌(NSCLC)术后患者无病生存期(DFS)和总生存期(OS)的高精度预测,为临床术后干预决策提供革命性工具。本论文共同第一作者为北京胸科医院病理科博士研究生李永猛和柴晓东,通讯作者为北京胸科医院病理科主任车南颖和北京透彻未来实验室博士王书浩。

肺癌作为全球癌症死亡首要原因,其中85%为NSCLC。主要依赖于TNM分期系统,但同一分期的患者术后临床结果差异较大,给术后干预措施的选择带来了挑战。NSCLC的治疗准确预测DFS和OS对于确定患者是否需要术后干预至关重要。
AIM-LCpro模型的创新性体现在:
1.多模态融合:首次将2,629张WSIs与45项临床特征(包括肿瘤分化程度、淋巴结转移等)深度整合,较单模态模型性能提升显著(测试集AUC:0.8084 vs 病理单模态0.6562/临床单模态0.7597)。
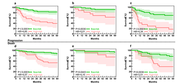
2.风险分层能力:模型划分的高/低风险组生存差异显著,全队列中高风险组死亡风险达低风险组4.57倍(p<0.0001)。
3.时间预测精度:DFS和OS预测误差仅11.34±17.23个月和7.76±13.82个月,预测与实际生存曲线无统计学差异(p=0.2321)。
4.弱监督人工智能算法:无需手动标注WSI,大大减少了人力投入,且不依赖预定义的图像特征,能够自动筛选和提取与预后相关的区域。

通过模型可视化技术,研究团队揭示了多个与预后强相关的数字化病理特征。例如,在对非黏液性腺癌(NMA)亚型的分析中,模型发现微乳头状腺癌(MPA)和实体腺癌(SPA)区域存在大量风险热点,而这些区域在世界卫生组织(WHO)最新版胸部肿瘤分类中被归为高级别模式。相反,被认为预后良好的肺泡腺癌(LPA)区域则很少被识别为风险热点。一些基质区域也发现存在风险热点,如微血管、成纤维细胞和细胞外基质等。这些都是肿瘤微环境的主要组成部分,对肿瘤的发生、发展和预后有着重要影响。

AIM-LCpro模型的开发为非小细胞肺癌(NSCLC)的精准预后预测带来了新的希望。通过整合全切片图像和临床数据,该模型不仅能够准确预测患者的无病生存期和总生存期,还能够识别与预后相关的数字生物标志物,为临床决策提供了有力支持。随着人工智能技术在医学领域的不断发展,AIM-LCpro模型的成功开发为其他疾病的精准预测和治疗提供了宝贵的经验和启示。未来,我们有理由相信,通过持续的技术创新和跨学科合作,人工智能将在更多疾病的诊断、预后和治疗中发挥更大的作用,为人类健康事业带来更多的突破和希望。
论文信息:Li, Y., Chai, X., Yang, M. et al. Accurate prediction of disease-free and overall survival in non-small cell lung cancer using patient-level multimodal weakly supervised learning. npj Precis. Onc. 9, 197 (2025). https://doi.org/10.1038/s41698-025-00981-y







.jpg)
